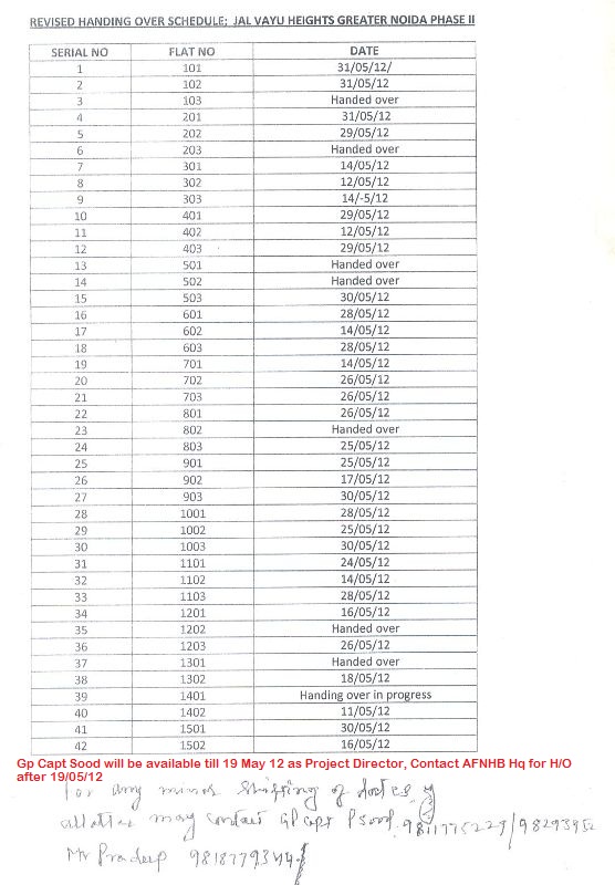
Revised handing over schedule : Jal Vayu Heights Greater Noida Ph-II